光源的显色性是评价光源性能的一个重要的指标,它主要用于表征物体在光源下呈现颜色的逼真程度,不同的光源因光谱分布的不同,其光源的显色性就不同,因此对光源的显色性进行评价就显得很重要。本文对光源显色性评价方法之CRI显色指数评价的缺点做了简要介绍。

光源显色性评价方法:
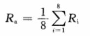
在CIE的显色评价系统中,显色性被定义为,待测光源下物体的颜色和参考光源下物体的颜色相符程度的度量,至今,这个指数仍在广泛使用着。在CRI的计算中,CIE以8个中等明度、饱和度颜色样本和6个特殊颜色样本为标准颜色样本,规定参考光源选择为普朗克辐射体(当色温低于5000K)和CIE日光参考光源(当色温大于或等于5000k)。在CIE1964年推荐的均W*U*V*匀色空间内,计算标准光源和待测光源下不同颜色样本的色差△E,则特殊显色指数Ri可表示为:

最终一般显色指数Ra就是前8块样本Ri的求和平均值,表示为:

CRI显色指数评价的缺点:
实际上,CRI是在平衡诸多方面因素而产生的评价方法,存在一定的不足。尤其是随着新型光源,尤其是LED 光源的不断推广使用,CRI的劣势越发的突出,在评价显色性方面体现出一定的片面性,具体可归纳如下:
1.参考光源并不是实际光源,但却拥有最大值100。从理论上来说,具有2000K普朗克辐射体和20000K日光光源的参考光源,显色指数都可以认为达到100,但是显然两者的显色性能具有很大的不同。
2.平均值的取得会导致不恰当的结果。这主要体现在,如果待测光源对8个样本中的几个表现极佳,对剩下的表现很差,那么最终的平均值会拉平大值和小值的关系,肯定会导致显色指数和应用的脱节。另外,如果出现0.2的小数点时,其意义并不明显,但是当一个光源显色指数为89.2,另一个是89,就会出现哪一个更好的问题。
3.根据计算,理论上显色指数可以为负值和0,而一种光源的显色指数为0时,就意味着不具有显色性,这是值得商権的。
4.标准色彩样本的选择具有局限性。在生活中,人们看到的更多的是具有一定饱和度的色彩,更倾向于对高饱和度色彩的喜爱,但是CRI样本选择只选择中等饱和度的色彩不符合这一实际,
5.没有表现色偏移现象。这里很大一部分是在计算过程中虚构的参考光源和均值造成的。由于色位移的偏离方向不同,不同的色位移偏向对色感知和视觉表现具有不同的影响。而显色指数的标量值显然没有反映这些,
6.CIE的显色性的定义实际上局限了光源的许多应用。CIE的显色性定义只考虑了光源对色彩的还原程度,即对物体真实色彩的反映。而在一些商场、影院、超市等场所,对光源的显色性更多考虑色彩的丰富表达、人们的喜爱等方面,所以显色指数高的光源并不一定胜任这些场合的应用。
7.CRI不能很好的用来评价新型光源,比如LED 光源。LED光源是第四代光源,通过电能直接产生光能、发射出的光谱功率分布具有波峰陡峭、频谱狭窄、频段断续等特点,而选择的参考光源是连续平滑的光谱,两者从本质上具有很大的不同,生硬的对比评估LED光源的显色性,显然有失公允。
综上所述,CIE所推荐的CRI显色指数的计算具有相当的局限性,有必要提出新的方法,或者进一步的修改、以期适应不同光源不同场合的应用。
光源显色性评价方法之CQS评价方法:
CQS评价体系在颜色的还原性之外,还包含了人对颜色的偏好度,和CRI一样CQS也采用了测色法,首先通过计算被测光源和参考光源分别照明标准颜色样本时的颜色空间来计算色差,在计算被测光源的显色性指数。但CQS采用了不同的颜色样本和新的计算方法,主要改进如下:
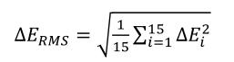
CQS使用了15种高饱和度色彩的标准颜色样品。相关的研究显示:如果某一光源对高饱和度色彩的颜色样品显色效果好的话,则该光源对低饱和色彩的颜色样品的显色效果也会很好。对于上述15中色样的颜色差异程度取15个数值的均方根,其表达式为:

从上式可以看到,对每个数据先进行了平方,再去其算数平均值,这使得颜色差异的权重得到增强;如果待测光源对某一两个颜色样品的显色性很差,那么最终的计算结果将受到很大的影响。
计算特殊显色指数时使用如下方法:
