光通量是评价光源能效的重要指标,可以使用光通量计测量,而光通量计的测量准确与否直接决定了光源光通量的准确度。本文对光源光通量的测量方法及光源光通量计的校准做了介绍,对光源光通量知识感兴趣的朋友不妨了解一下!

光源光通量的测量方法:
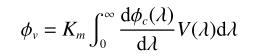
光通量是指人眼所能感觉到的辐射功率,它是根据辐射对CIE标准光度观察者的作用,从辐射通量导出的光度量。对于明视觉,有:

式中,dΦc(λ)/dλ表示辐射通量的光谱分布;V(λ)表示光谱光视效率。
波长为λ的光谱光视效率是指在规定的观测条件下,波长为λm和λ的两辐射通量所引起的光亮度感觉相同时的两辐射通量之比。V(λ)为明视觉光谱光视效率值,V'(λ)为暗视觉光谱光视效率。不同波长的辐射对人眼具有不同的光视效应。
测量光通量一般有两种方法:分布光度计法和积分球法。分布光度计的测量原理是测量被测光源发光强度空间分布,根据光源发出的总光通量Φ与约定球面的照度E的关系为:Φ=∫Eds。式中,ds表示照度测试点的面元。分布光度计测到约定球面上各点的照度分布,通过计算得到光源的总光通量。
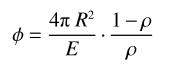
积分球法测量光通量是利用积分球内壁理想白色漫反射材料产生的漫射照度E,与光源总光通量的关系,通过计算得到光源的总光通量,计算式如下:

式中,ρ表示球壁的反射比;R表示积分球的半径。
光源光通量计的校准方法:
光通量是根据辐射对标准光度观察者的作用导出的量,它是人眼所能感觉到的辐射功率。光源的光通量表征光源的发光能力,是光源能效评价的重要指标。光通量计是专门用于测量光源光通量的仪器,光通量计的测量准确与否直接决定了光源光通量值的准确度,因此对光通量计进行校准是十分必要的。
光通量计是以光度学理论为基础,专门进行光源光通量测量的仪器,主要由积分球、电测仪表等部分组成。光通量计对光通量的测量是通过积分球将被测灯发出的光全部收集后,测量在可见区内各波长的辐射功率并乘以V(λ)函数,经过计算得出光通量数据,仪表上的显示值即为最后得到的光通量值。
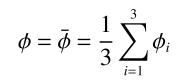
光通量计校准方法是基于光通量标准灯,为了获得更准确的测量,建议用三种不同的光通量标准灯进行校准。将一只经过定标的光通量标准灯,安装在积分球内的测试中心位置,点燃标准灯预热后,开始测量光通量值,连续测量三次,取平均值即为仪器的光通量测量值Φ,如下所示:

式中,Φi表示标准灯每次测得的光通量值,lm;Φ表示光通量平均值,lm。
光通量标准灯通过上级溯源,已知光通量标准值为心,得到光通量计光通量值的相对示值误差为:(Φ-Φ0)/Φ0x100%。