光源色温的单位有哪些?色温既不是亮度的标志,也不是颜色的标志,但色温直接影响色彩还原。色温的单位是开尔文,用°K(或K)为符号。但色温还有一个单位微倒值(MRD),又叫麦瑞德值。本文对光源色温的单位及其计算方法做了介绍。

光源色温的单位有哪些?
色温是以“完全辐射体”的温度来表示一个实际光源的光谱成分。以绝对零度(-273℃)为基准,色温的单位是开尔文,用°K(或K)为符号。但色温还有一个单位微倒值(MRD),又叫麦瑞德值。它们之间的换算关系是:MRD=1/K*1000000。例如:日光5500K的色温1.X(MRD=1/5500*10000000则X=182:室内灯光3200K的色温2.X(MRD)=1/3200*10000000则X=312;312-182=130。因此我们就知道它们之间相差130MRD。
光源色温计算方法:
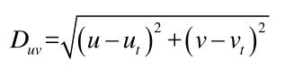
在计算Tcp时,首先需要知道光谱的光谱功率分布(SPD),通过SPD可以得到光源的色品坐标点(u,v),然后在普朗克辐射体上找到与色品坐标点(u,v)距离最近的色品坐标点,距离用Duv表示。公式如下:

当我们找到普朗克辐射体上与光源距离最近的色品坐标点,那么说明该光源的相关色温值与已找到普朗克辐射体上点的相关色温值相等。CIE为了确保光源能够得到准确的相关色温值,推出了等温线如下图所示,即把普朗克辐射体分成许多等色温线,这样在计算和验证的时候比较方便和准确。

目前国际照明委员会(CIE)的色度学体系是基于CIE配色函数的三刺激值XYZ空间发展起来的。尽管在一般应用领域,CIE已经不推荐使用色品坐标(u,v)空间,但在计算相关色温时仍采用色品坐标(u,v)空间。色温也是真实恒星的重要物理特性,星模拟器光源重要参数。同样在激光显示器技术中色温恒定在一定范围是确保画面显示效果的重要参数。随着科学技术手段的进步,相关色温的计算方法越来越精准,过去较为常用的方法有:经验公式法,查找表法,迭代法,二分法,最短距离法,曲线拟合法以及逐点法等。经验公式法简单,但误差较大。查找表法,或基于查找表法的迭代法的精度都取决于查找表的信息量,信息量越大,越精确,但需要存储的信息也就越多。
A光源色温确定方法:
由于普朗克辐射体(黑体)的光谱功率分布是其温度的单值函数,随着温度的变化,黑体的颜色也会发生变化,所以如果要确定某一未知光源的色温,首先要将光源A的色品坐标投到色品图上,如果该坐标在黑体轨迹上,就可以直接读出它的色温,这一温度称为该光源的色温(如标准照明体A的色温2856K);如果该坐标位置不在黑体轨迹上,就从该位置向黑体轨迹划垂线,找一个与该坐标位置最接近的黑体坐标点,这一点的黑体温度就称为该光源的相关色温。
通过计算,得到光源A的色度学坐标,将这一坐标投点到(u,v)色品图上,发现该坐标点不在普朗克辐射体曲线上,该点对应的色温值就是A光源的色温。