在谈论光源色温的时候,经常会涉及到几个专业的名词,分别是:光源色温、相关温度和分布温度。鉴于许多的朋友对光源色温、相关温度和分布温度的含义不是很了解,本文对此及对光源色温测定和计算的方法做了介绍,感兴趣的朋友不妨了解一下!

光源色温、相关色温及分布温度的含义:
1.光源色温的含义
如果一个光的颜色(即光色)与某一温度下的黑体发射光的颜色相同,那么此时黑体的绝对温度值就叫做该光源的颜色温度,简称色温。
2.光源相关色温的含义
在某一确定的均匀色度图中,如果一个光源与某一温度下的黑体具有最接近的光色<色品)、此时黑体的这个绝对温度值就叫做该光源的相关色温。
3.光源分布温度的含义
光源的分布温度的定义 在某一波长范围内[λ1,λ2],如果一个光源发出的辐射与某一温度下的黑体具有最接近的相对光谱辐射功率分布,那么此时黑体的绝对温度叫做该光源在该波长范围内的分布温度。
从上述概念中,可以看出当光源发射光的颜色和黑体不同时,色温的概念被扩大到更一般的“相关色温”的概念。在色温和相关色温的定义中,必须是对标准的色觉观察者而言。因为不同的色觉观察者。特别是具有色觉缺陷的观察者在评价时,将可能收到不同的结果。在相关色温的定义中、必须规定出一个最合适的,为大家所公认的均匀色度图。对同一光源,由依据的均匀色度图的不同,所求出的相关色温也不同。现规定用CIE1960UCS色度图。在上述定义中,都包括了人眼的色觉特性,因此,色温和相关色温实际上是一个心理物理量。
光源的色温和分布温度实际上是两个完全不同的概念。对于分布温度,不仅在可见光区,而对红外区,紫外区也可能有意义,对色温则只在可见光区有意义。一般地讲,光源的色温和可见光区的分布温度在数值上是不同的,下文列出了几种典型光源的相关色温和分布温度值:
钨带灯:相关色温2060K;分布温度2055K;
螺旋钨丝灯:相关色温2032K;分布温度2030K;
碘钨灯:相关色温3048K;分布温度3089K;
B光源:相关色温4874K;分布温度4651K;
C光源:相关色温6774K;分布温度6215K;
D65昼光:相关色温6504K;分布温度6205K;
E光源:相关色温5455K;分布温度5512K;
氙弧:相关色温5689K;分布温度5493K;
碳弧:相关色温6344K;分布温度6512K。
从上可以看出,CIE标准光源B,C,E,D65、氙弧,碳弧等,它们的相关色温和分布温度值有相当大的区别、这是因为它们的相对光谱能量分布与黑体的有较大的差异。然而象白炽钨丝灯这样一类的光源,由于它的相对光谱能量分布与黑体的相差很小,因而它的相关色温值与可见区的分布温度相差也很小(碳,钨灯除外),一般差别在2——5K左右。事实上,由于光谱能量分布测量误差的存在,要区分这个差别也是没有意义的。
光源色温的测定方法:
蓝/红比法通常用来测定一个光源的色温。在这个方法中,改变标准光源(黑体或更通常的是经预先校准过的标准灯)的色温,使其测得的被测光源和标准光源的蓝/红比相等、此时就认为被测光源的色温等于标准光源的色温。严格地讲,这样比较得到的是分布温度,而不是色温。虽然在通常情况下由于被测光源和标准光源具有相同或近似相同的分光能量分布、这种差别是不大重要的但是如果所比较的这两种光源具有不相同的分光能量分布+最好还是讲这是它的分布温度、尽管这分布温度和所使用的蓝、红波长范围有关。因此,对于感光测定所用的仪器灯泡(钨丝灯),可以用蓝/红比方法来标定灯泡的色温。
取一只无色泡壳的钨丝灯,由小到大逐渐升高灯电压(电流),灯丝的温度随之也逐渐升高,我们可以看到发出的光有两个变化,一个是灯丝的亮度越来越大;另一个是它发出的光的颜色也在变化,先是暗红,然后变为红、红黄、黄白,最后变为白色。并且只要将灯电压(或电流)每次都调到同一数值,也就是说灯丝被加热到对应的同一温度时,它发出的光亮度总是相同的,光颜色总是恒定的,且不同的温度对应于不同的亮度,不同的颜色。不管灯丝点燃在什么温度下,只要恰当改变黑体的温度,总可以使得黑体发射光的颜色与钨丝灯发射光的颜色相匹配。由此可见,对于象白炽钨丝灯这一类型的光源,不仅它的光色和它白炽体的温度有一对应的关系,而且在和黑体的光色相匹配的情况下.还和此时黑体的温度有一一对应的关系。
由于灯源的色温不同,它所发射的光的颜色也就不同,它的蓝/红比值也不同。因此,感光测定中所用的灯源的色温将影响着感光测定数据的准确性,严重影响产品质量。
光源色温的计算方法:
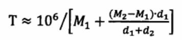
光源的色温可以分为相关色温和绝对色温对于这两种色温的计算方法是不同的。相对色温表示的是与光源具有最相似颜色刺激的黑体辐射的温度,当知道待测光源的光谱分布后,可确定出光源的色度坐标(x,y)。若光源的色度坐标点位于两条相邻等温线M1和M2之间,则可用内插法求得光源的相关色温。
设d1为光源坐标点到等温线M1的距离,d2为到等温线M2的距离。则光源的相关色温T由下式表示:

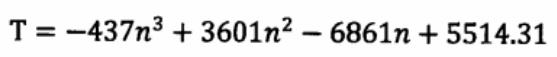
通常情况下用下面近似公式得到色温T:

其中:n=(x-0.3320)/y-0.1858。
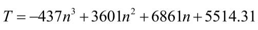
绝对色温在CIE-1931色品图上是一条连续的弧形轨迹,这条轨迹称为黑体轨迹线。光源的色品坐标如果落于黑体轨迹上,则对应的黑体温度就为此光源的绝对色温。绝对色温的计算公式为:

式中n=(x-0.3320)/(y-0.1858),x、y为CIE-1931的色坐标。