色差仪是按照国家和国际相关标准研制的比较类光电仪器,其在对样品颜色进行比较分析时,必须满足色度学的相关规定,在统一的色度标准下对颜色进行定量的分析。那么,色差仪有几个标准色度系统?色差仪色差值计算公式有哪些?下文将为大家进行介绍。

色差仪标准色度系统介绍:
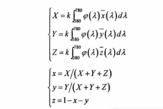
1.CIE1931XYZ色度系统
由于CIE1931RGB色度系统在计算过程中会出现负值,因此CIE采用假想的三刺激值X、Y和Z来建立一个新的色度系统,即CIE1931 XYZ标准色度系统。通过选择合适的三原色,使其光谱三刺激值x(x)、y(y)和z(z)均不为负数,并且Y与亮度值成正比。三刺激值X、Y、Z及其相应色品坐标x、y、z的计算方法分别如下式所示:

式中,φ(λ)是光源发出(光源色)或是光源经物体反射或透射后(物体色)进入人眼的光谱能量分布,称之为颜色刺激函数;x(λ)、y(λ)和z(λ)是CIE1931标准色度系统的光谱三刺激值,其数据可通过查表得到;k为相应的归化系数。应注意的是,当需要预测在不同照明体下的三刺激值时,应采用色貌模型进行计算。
CIE1931 XYZ标准色度系统主要体现人眼视觉系统中央凹锥体细胞的作用,因此适用于2°视场的中央视觉观察条件,也可用于1°~4°视场的颜色测量,但对极小视场的颜色观察不再有效。对于大于4°视场的颜色测量,应采用CIE1964 XYZ标准色度系统。
CIE1931 XYZ标准色度系统是在广泛的实验基础上评价的人眼响应,是国际上颜色测量和表征的统一标准,是几乎一切颜色计算和颜色测量仪器设计、制造的基本理论依据。
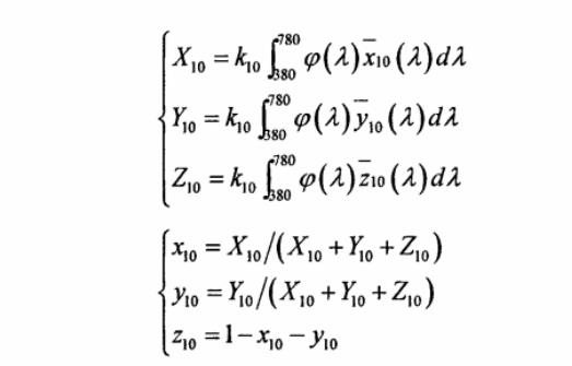
2.CIE1964XYZ标准色度系统
由于CIE1931XYZ标准色度系统是在2°视场观察条件下颜色视觉匹配实验数据的基础上得到的,多年的应用实践表明CIE1931XYZ标准色度系统适用于1°~4°视场。而当视场增大到4°以上时,由于在人眼视网膜上的成像面积超过了中央凹范围,杆体细胞也会参与作用,使颜色感受产生了一定的变化。日常生活中观察物体时的视场通常较大,因此需要建立新的标准色度系统,以满足大视场观察和测量的需要。
CIE在色度研究者基于10°视场条件下获得的两组实验数据的基础上,于1964年推荐了一组用于大视场观察的CIE1964标准色度观察者光谱三刺激值曲线,即CIE1964XYZ标准色度系统,其三刺激值X10、Y10、Z10和色品坐标x10、y10、z10的计算方程分别:

式中,φ(λ)为相应的光谱能量分布,x10(λ)、y10(λ)和z10(λ)是CIE1964标准色度系统的光谱三刺激值,k10为归化系数。
色差仪色差值计算公式:
色差评价一直是颜色科学领域和工业生产中的一个重要问题,为了更客观地测量和评价不同色样之间的色差,CIE不断提出新的色差计算方法。目前广泛使用的有CIELAB、CMC(l:c)、CIE94、CIEDE2000等色差公式。
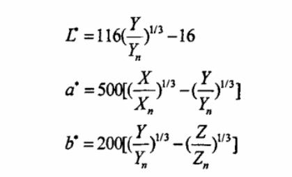
1.CIELab色差公式
从CIE1931RGB系统到CIE1931XYZ系统,再到CIE1960UCS系统,再到CIE1976LAB系统,一直都在向颜色“均匀化”方向发展。1976年CIE推荐的均匀颜色空间及其有关色差公式,即CIE1976LAB(或Lab)系统,现在已成为世界各国正式采纳、作为国际通用的测色标准。它适用于一切光源色或物体色的表示与计算。
CIE1976Lab空间由CIEXYZ系统通过数学方法转换得到,转换公式为:

其中,X、Y、Z是物体色的三刺激值;Xn、Ya、Zn为CIE标准照明体的三刺激值;L表示心理明度;a、b表示心理色度。
从上面的转换式中可以看出:由X、Y、Z变换为L、a、b时包含有立方根的函数变换,经过这种非线形变换后,原来的马蹄形光谱轨迹不复保持。转换后的空间用笛卡儿直角坐标体系来表示,形成了对立色坐标表述的心理颜色空间。L轴表示明度,黑在底端,白在顶端,+L表示颜色偏浅,-L表示颜色偏深,+a表示红色,-a表示绿色,+b表示黄色,-b表示蓝色,颜色的明度由L的百分数来表示。
色差是指用数值的方法表示两种颜色给人色彩感觉上的差别。若两个色样样品都按L、a、b标定颜色,则两者之间的总色差△Eab以及各项单项色差可用下列公式计算:
明度差:△L=L1-L2
色度差:△a=a1-a2,△b=b1-b2
总色差:△E*ab=[(△L*)2+(△a*)2+(△b*)2]1/2
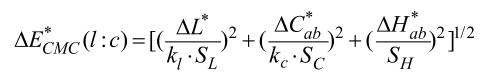
2.CMC(l:c)色差公式
CMC是英国颜色测量委员会名称的缩写。CMC色差公式虽未被CIE推荐为标准,但是目前工业上广泛采用的色差方法。

△L*、△C*ab、△H*ab分别是CIE1976L*a*b*明度差、彩度差和色调差,SL、SC、SH分别是明度差、彩度差和色调差的权重函数。对于大多数的应用而言,c=1。对于纺织行业,l=2时计算得到的纺织品色差与视觉感觉非常接近。对于涂料、塑料和油墨等行业的应用,l=1.4。
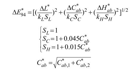
3.CIE94色差公式
CIE94色差公式的优点在于探讨了色差距离的均匀性和参量对知觉色差的影响,应用加权函数校正CIELAB空间的均匀性。目前在纺织工业中得到了广泛的应用。

SL、SC、SH分别是明度、彩度和色调的权重因子。
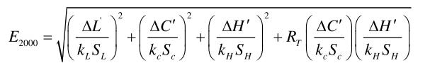
4.CIEDE2000色差公式
CIEDE2000色差公式是在CIELAB、CIE94等色差公式基础上,通过大量视觉实验和色差评估实验得到的。

SL、SC、SH分别是明度、彩度和色调的权重因子。KL、KC、KH分别为可调参数因子,可根据不同的被测物体来选择不同的参数。如纺织业色差评估式通常取KL=2,KC=KH=1。