色差仪是依据相关标准及规定研发的一种光电仪器,其内部配置了多个CIE规定的用于颜色测量和计算的色彩模型和表色系统,前者主要有CIELab颜色空间,后者主要有CIEXYZ标准色度学系统。本文对色差仪颜色空间及色度系统的类型做了介绍,对颜色测量知识感兴趣的朋友不妨了解一下!

色差仪常用颜色空间介绍:
为了能够准确的利用色差表示各种颜色,国际照明委员制定了国际通用的颜色空间。目前色差仪常用的颜色空间主要有以下几个:
1.CIE1964均匀颜色空间
国际照明委员会基于威泽斯基提出的利用CIE1960UCS图的均匀颜色空间,于1964年推荐了CIE1964W*U*V*颜色空间。该系统采用三个参数即明度指数W*、色品指数U*和V*来表示颜色,并由此组合的三维坐标形成了颜色的立体空间,它们的计算公式为:

式中u、v是颜色样品的CIE1960色品坐标,而un、vn是照明光源的色品坐标。可见,明度指数W*与刺激值G有关,并且明度指数标尺在知觉上是均匀的,即每一个单位量的差别代表相等的知觉差异,因而它更准确地表达了颜色明度的变化:色品指数U*和V*的计算式是基于CIEUCS图的u、v色品坐标,同时义考虑了明度指数W*对色品坐标的影响,故当明度指数W*增大或减小时色品指数也随之增大或减小。
2.CIE1976L*u*v*颜色空间
国际照明委员会改进了原有的CIE1964W*U*V*颜色空间,提出采用如下的L*u*v*作为三维直角坐标的颜色空间,称为CIELUV颜色空间,它主要用于如电视工业等加混色的表示和评价。在该空间中,L*为明度u*、v*表示颜色的色品坐标,其计算公式为:

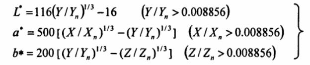
3.CIE1976L*a*b*颜色空间
CIE在1976年还推荐了主要用于如表面色料表示和评价的CIE1976L*a*b*颜色空间。作为该空间三维直角坐标的明度L*和色品坐标a*、b*的计算公式为:

式中,X、Y、Z为颜色样品的三刺激值,Xn、Yn、Zn为CIE标准照明体照射在完全漫反射体上,然后反射到观察者眼中的三刺激值,其中Yn=100。
色差仪色度系统的类型:
1931年CIE推荐了根据加混色的定律在实验基础上获得的一组“CIE1931标准色度观察者光谱三刺激值”数据,它适用于1°~4°视场的颜色测量。但在颜色的精密测量中发现,当视场大于4°时,应用这些数据还不够精确,1964年CIE采用了由Stiles、Burch和Speranskaya通过实验得到的一组10°视场的数据,称为“CIE1964补充标准色度观察者光谱三刺激值”,它适用于大于4°视场的颜色测量。这两组数据是进行颜色测量和计算的最基本参数。
1.CIE1931标准色度系统
为了解决由CIE1931RGB色度系统计算颜色的三刺激值时会出现负值的问题,国际照明委员会(CIE)推荐了一组新的曲线,即CIE1931XYZ色度系统。这个系统可以由CIE1931RGB系统通过某种线性关系转换而来,可以计算出CIE1931 XYZ色度系统中的光谱三刺激值x(λ)、y(λ)和z(λ),称这三条曲线为“CIE1931 XYZ标准色度观察者光谱三刺激值”,如下图所示。

它适用于2°视场的中央视觉观察条件。同时,将新的色品坐标x、y、z定义为:

这样,就形成了CIE1931XYZ系统色品图,如下图所示。

2.CIE1964补充标准色度系统
经过实践表明,CIE1931XYZ标准色度系统适用于 1°~4°的观察视场范围。研究发现,当视场增大到4。以上时,x(λ)、y(λ)、z(λ)在波长为380~460nm光谱区间内的数值偏低。日常观察物体时的视野经常超过2°范围,所以为了适应大视场颜色测量的需要,CIE于1964年基于Stiles,Burch和Speranskaya在10°视场条件下获得的两项实验数据,推荐了一组“CIE1964补充标准色度观察者光谱三刺激值”,这一系统称为CIE1964补充标准色度系统或10°视场X10Y10Z10色度系统。其色品图如下图所示。

色差仪RGB色度系统怎么转换XYZ色度系统?
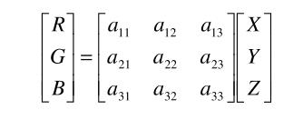
由于三原色选择不同,以及规定三刺激值单位的方法不同会出现许多不同的色度系统。由RGB系统到XYZ系统就遇到了系统的转换问题。令(X)、(Y)、(Z)代表新系统的三原色,(R)、(G)、(B)代表旧系统的三原色。根据格拉斯曼定律可知,每单位新的原色可以由旧的三原色混合得到。从而可以得到旧系统的三刺激值与新系统的三刺激值之间的关系,用矩阵表示为:

或用逆矩阵表示为:

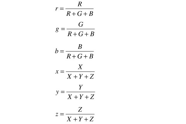
欲求得新旧色度坐标之间的转化关系则可根据:

由上面两个公式可得:

其逆变换即为r,g,b的表达式。
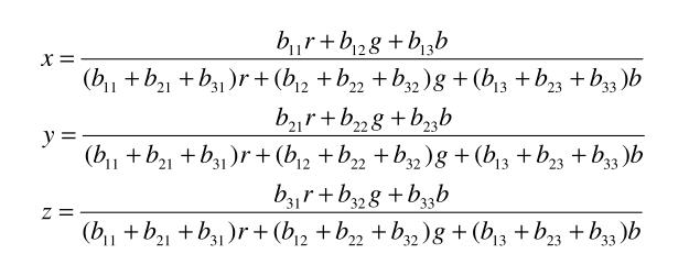
由上面的式子可知,要求得它们的关系,就必须确定b11,b12,.....,b33九个系数。通常情况是知道新系统三原色以及参照白光在旧系统内的色度坐标,rx,gx,bx;ry,gy,by;rz,gz,bz;r0,g0,b0。而新系统三原色和参照白光在新系统内的色度坐标为:

将四点的八个相应坐标代入 x、y、z 和 r,g,b 的表达式,又由于r+g+b=1,x+y+z=1,可得八个独立的方程。九个系数中八个是独立的,计算时可以指定九个系数中任意一个系数为某一常量,其余八个系数随此常量大小同时扩大或缩小相同倍数,不影响颜色的色调。计算出了b1,b2,……,b33九个系数,就可以完成从RGB系统到XYZ系统三刺激值的转换与色度坐标的转换。