色差是产品生产中用于控制产品颜色质量的重要参数。长期以来,为了定量评价两种颜色之间的视觉差别,包括国际照明委员会(CIE)在内的很多研究机构相继提出了累计40多个色差公式,为色差的评定提供了更准确的计算条件。本文介绍色差公司的发展状况及典型的色差计算公式,对此感兴趣的朋友可以了解一下!

色差公式发展概况:
色差或两个颜色在均匀颜色空间中的距离是颜色科学最受关注的课题之一。CIE负责国际颜色标准的研究开发,其中一个非常重要的任务就是建立色差公式或均匀颜色空间,为颜色复制再现行业提供物体表面颜色判断的标准,即用一个标准色差公式预测的数值来判断颜色再现的质量合格与否。现代色差公式的发展是以1976年CIE发布的两个近似均匀的颜色空间CIELAB和CIELUV为起点,以2001年CIE发布的国际标准色差公式CIEDE20002为里程碑,在CE相关技术分会的引领下不断进步。
CIEDE2000色差公式的推出,并不意味着色差评价研究的终结。CIEDE2000对CELAB五项复杂的修正,极大地提高了在评价中小色差时的准确性。但CIEDE2000本身并不具有均匀颜色空间的性质,同时考虑到CIEDE2000的应用需求和图像色差的复杂性,CIE成立了更多的技术委员会TC1-55、TC1-63、TC1-81和TC8-02等,分别研究均匀颜色空间、CIEDE2000评价阈值色差时的表现、CIEDE2000的适用范围和评价图像色差的方法。
到目前为止,国内外色差研究工作主要集中在两个方面:(1)建立更加符合视觉感知的色差评价模型和更加均匀的颜色空间;(2)收集更多的视觉实验数据,探索影响视觉感知色差的各种可能因素。
进入新世纪以来,新的色差评价模型和新的均匀颜色空间,多数是建立在改进已有色差公式和均匀颜色空间的基础上,包括CE颜色空间CIELAB、德国颜色空间DIN99、美国颜色空间OSA和CIE色貌模型CIECAM02等,通过对原有颜色空间的坐标进行对数变换,得到更加均匀的颜色空间。如基于CIELAB颜色空间的ULAB;基于DIN99的衍生均匀颜色空间DIN99b、DIN99c和DIN99d;基于OSA颜色空间的OSA-GP和OSA_GP_Eu;基于色貌模型CIECAM02的均匀颜色空间CAM02-SCD、CAM02-LCD、CAM02-UCS、RIT-UCS以及基于CIECAM97s色貌模型的均匀颜色空间等,结果表明在评价中小色差时,大多数新的色差公式和新的颜色空间的表现与CIEDE2000没有显著的差别,此举并没有实质性的突破,建立新的更加符合视觉感知的色差公式和更加均匀的颜色空间仍然是色差研究领域的目标之一。
此外,现有的色差公式或均匀颜色空间在评价色差时,都有一套适用的参考观察条件(如照明光源、照度、背景、平面物体、色样大小、色样间隔和色样纹理等)。当不符合参考观察条件时,由于人类视觉系统的特殊性和复杂性,不能保证色差公式的预测精度。为了研究各种观察条件因素对视觉感知色差的影响,CIE建议国际颜色科学家按规定的5个颜色中心(后来增加到17)开展心理物理视觉实验,收集不同观察条件下的视觉色差实验数据,研究各种观察参数对视觉感知色差的影响规律和机理。一方面可以根据影响视觉色差大小的因素规范色差评价方法,设计颜色测量和色差测量仪器;另一方面可以修正现有色差公式,加入观察条件对色差的影响因素,拓展色差公式的应用范围,使之在更多的观察条件下仍能准确地预测视觉感知色差的大小。
典型色差计算公式有哪些?
色差是定量表示的色觉差,用△E表示。国际照明委员会(CIE)负责研究和开发国际颜色标准,而建立色差公式为色彩行业提供判断物体颜色质量的标准是CIE最重要的任务之一。在现有的均匀颜色空间中,不同的颜色区域中相同的空间距离所代表的色差不相同。为此,研究人员根据不同的应用领域和不同的处理对象提出了几十种色差公式或修改方案。目前,所有CIE推荐的改进型色差公式均是在CIELAB色差公式的基础上改进。
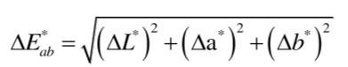
1. CIELAB色差公式
CIELAB色差公式是最简单的色差公式,也是1976年CIE推荐的工业应用色差公式之一。使用两个颜色刺激色样在空间中的欧式距离来表示两者之间的色差。假设在CIELAB颜色空间中有两个颜色(L*0,a*0,b*0)和(L*1,a*1,b*1),通过下列色差公式便可计算出两者之间的色差。

式中,△L*、△a*和△b*分别表示两个颜色样本的坐标L*、a*和b*之差。
如果CIELAB空间是理想的均匀颜色空间,则其对应的视觉容差应为球形。
根据颜色科学研究人员的实验研究,发现在CIELAB空间使用椭球来描述颜色的视觉容差更为合适,这表明CIELAB颜色空并非理想的均匀颜色空间。虽然CIELAB色差公式对中小色差的预测精度较差,但由于其结构简单,易于理解并具有较好的大色差预测精度,所以仍被广泛应用。
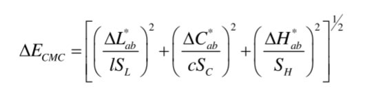
2.CMC色差公式
CMC是英国颜色测量委员会Colour Measurement Committee)的缩写,1988年CMC色差公式被英国推荐为英国国家标准(BS 6823),广泛应用于纺织行业及其他工业。在修正CIELAB色差公式的基础上,CMC色差公式根据视觉关系调整了每个色调方向的色差椭圆大小和形状;改善了彩度差变化与明度之间的关系,使不同彩度的颜色具有不同的色差容限。非彩色区域附近的椭圆较小,彩度高的椭圆较大,色差容限与彩度的变化成正比。CMC色差公式为如下形式:

其中,△L*ab、△H*ab和△C*ab,为CIELAB确定的明度差、彩度差和色调差;SL、SC和SH分别为明度、彩度和色调的权重函数;L*s和C*ab,s和hab,s均为确定色差的标准样本。明度权重因子和彩度权重因子c与具体应用条件有关,一般情况下c=1。在纺织业中,当l=2时用CMC色差公式计算得到的纺织品色差与视觉感觉相对一致。对于涂料、塑料和油墨等应用,取l=1.4。
CMC色差公式实际上是一个三维空间中的椭球公式,也就是说,用以目标色样的坐标点为中心的一个椭球来表示色差,椭球的大小与样品颜色同目标色的差别有关,也与具体的颜色区域有关,在不同的颜色区域用不同大小和取向的椭球来表示色差。这种计算色差的方式已经被CE确定为今后发展色差公式的一种标准形式,主要的研究重点是如何确定公式中的系数,CIE94色差公式就是这类公式的代表。